Arctyx Nano
An open-source FPGA development board in RaspberryPi Pico form factor.
Created by 
  
     Keyaan 🚀
    Keyaan 🚀
  
Tier 2
48 views
4 followers
Timeline
        
  
     CAN ⚡🚀
  
        approved Arctyx Nano  ago
    CAN ⚡🚀
  
        approved Arctyx Nano  ago
      
Tier approved: 2
Grant approved: $70.85
  
     Keyaan 🚀
  
 submitted Arctyx Nano for review  ago
    Keyaan 🚀
  
 submitted Arctyx Nano for review  ago
  
     Keyaan 🚀
  
 added to the journal  ago
    Keyaan 🚀
  
 added to the journal  ago
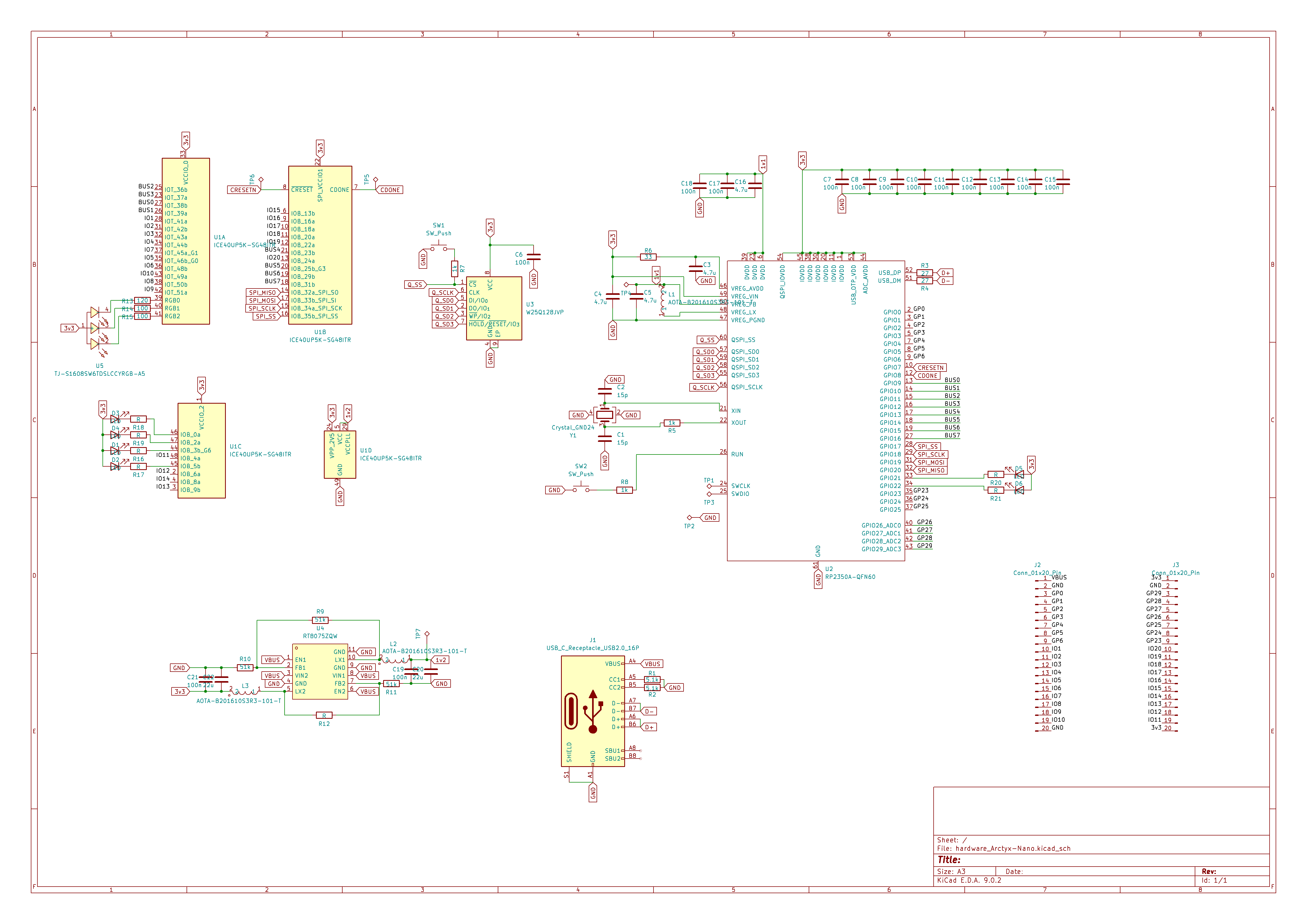
BOM optiimisation!
I uhh changed the LEDs from 0402 Extended to 0603 basic and uhm i changed how they were placed on the board and i will now be using the C9002 crystal, thanks Kai! Will update the BOM and the costs. Here are the new images:




  
     technical_. 
  
 requested changes for Arctyx Nano  ago
    technical_. 
  
 requested changes for Arctyx Nano  ago
Your BOM can be optimized further by using components from different suppliers. Your crystal can be replaced with the C9002, etc. Please try to reduce costs on the PCBA much as you can please! I won't be picky about the components, but try to search for alternate components that isn't much of a hassle to use please!
  
     Keyaan 🚀
  
 submitted Arctyx Nano for review  ago
    Keyaan 🚀
  
 submitted Arctyx Nano for review  ago
  
     lasvejas 🚀
  
 gave kudos to Arctyx Nano  ago
    lasvejas 🚀
  
 gave kudos to Arctyx Nano  ago
tuff 🗣️
  
     Keyaan 🚀
  
 added to the journal  ago
    Keyaan 🚀
  
 added to the journal  ago
Branding+BOM
Okay, i did the branding for the board, it looks really cool!
I mainly added resistor values as well as branding. the font i used is just a spacex clone because it looks really cool. uhh yea i am gonna make BOM next and i hope it works!
I reoriented the PCB to so it looks better in the PCB editor.




  
     Keyaan 🚀
  
 added to the journal  ago
    Keyaan 🚀
  
 added to the journal  ago
PCB Complete!
I completed the PCB. Changed a few nets, added a 10uF cap for the 1.2v rail. added all the different 3d models, and idk why but it was a pain to find the RP2350A 3d model. About everything is complete, will finish beautifying the repo and make the BOM and senD it! Check out the Images:


 
  
  
     lasvejas 🚀
  
 gave kudos to Arctyx Nano  ago
    lasvejas 🚀
  
 gave kudos to Arctyx Nano  ago
YEAHHH GO KEYAAN LOOKS GREATTTT
  
     Keyaan 🚀
  
 added to the journal  ago
    Keyaan 🚀
  
 added to the journal  ago
Removed silkscreen references + removed excess routes
removed extra traces like random traces connecting 3v3 because i switched to 4 layers(made the routing so much easier as there were a few nets that were impossible to route). i made the PCB better overall. GPIO headers are yet to be added and i will add them later today. i also have to find a suitable resistor and add it's value. and yeah i have to add 3d models too along with branding and naming.


  
     Keyaan 🚀
  
 added to the journal  ago
    Keyaan 🚀
  
 added to the journal  ago
Finished PCB routing
okay, I finally completed the PCB.. I can ship it just now after making the BOM and beautifying the repo but no, i choose to make the dev board better, fix a lot of mistakes prolly and add all the 3d models. i want this project to be as polished as possible from my side. I still have to assign values to a resistor or two and i'll do that later too. Here's some images:



  
     Keyaan 🚀
  
 added to the journal  ago
    Keyaan 🚀
  
 added to the journal  ago
Started with the PCB routing
I started with the PCB routing, and i am aiming for a 2 layer PCB because idk. But like i am facing a lot of issues with routing, it is real hard to route. The two ICs make it a lot lot harder to route. i have yet not placed and routed with the power part of the board because that is a pain and the bottom part of the PCB looks beautiful but a lot of routing is left there too. will prolly do it later.  
 
  
  
     Keyaan 🚀
  
 added to the journal  ago
    Keyaan 🚀
  
 added to the journal  ago
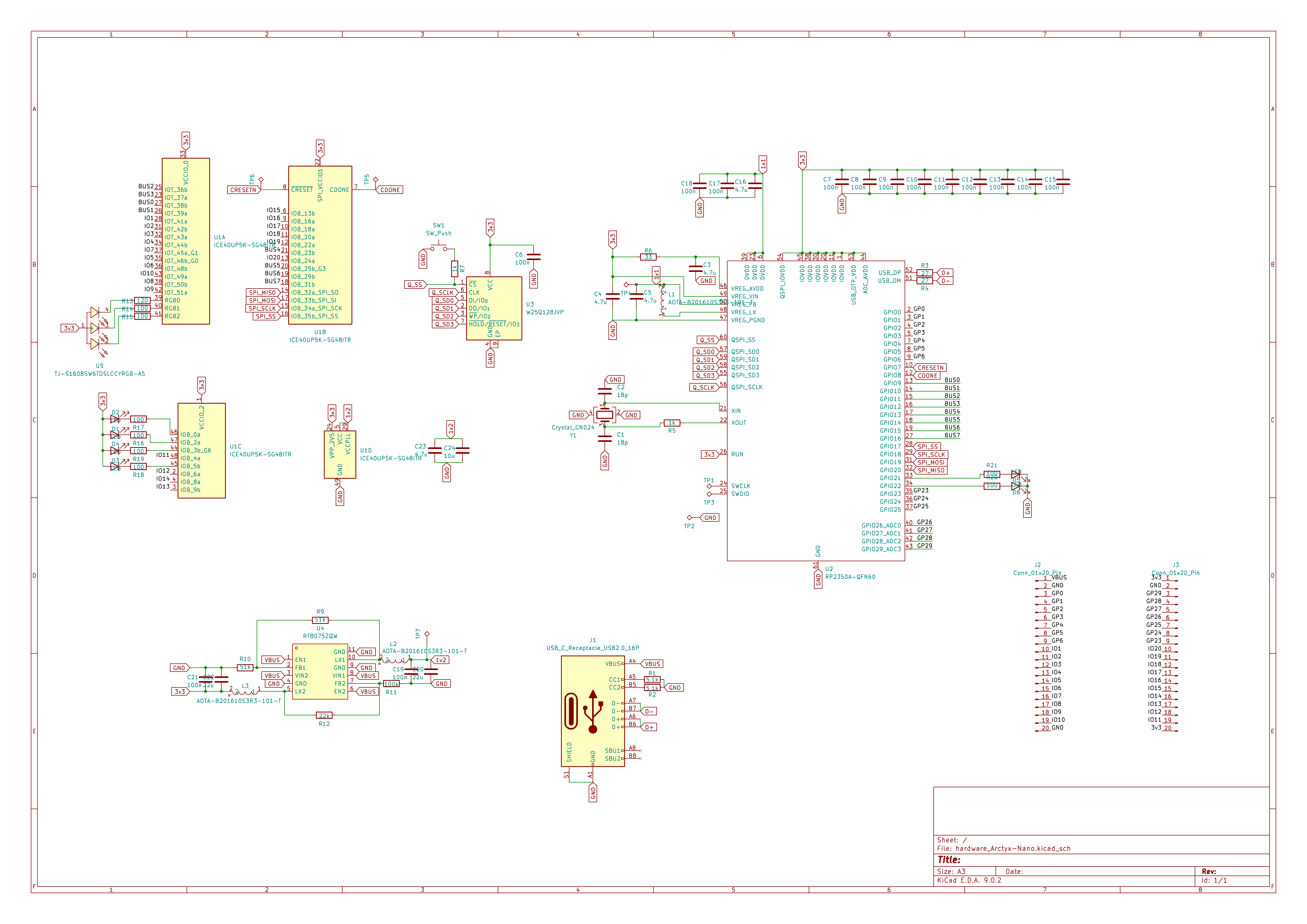
Schematic Done!
Yes, i finished the schematic, and i changed my flash to W25q128JVP instead of W25q128JVS because the JVS was too big for the board and JVP is significantly smaller and thus helps with space. i have realised that the board will be very tightly made and i will have to choose assembly as the items are placed very very closely. i have added a lot of LEDs too to not not use any GPIO pin. as well as i have 8 wires connecting the two semiconductors together. i still have to search for suitable LEDs and then assign resistor values.

  
     Keyaan 🚀
  
 added to the journal  ago
    Keyaan 🚀
  
 added to the journal  ago
Started with the schematic + minor placement
umm yeah, i started with the schematic for the devboard, it went well.
first i couldn't figure out some things like different voltages and i was concerced if i would need 2.5 volts too. but some wise people on the internet told that i can tie the VPP_2V5 pin to 3.3v directly. so yeah here it is.
 
  
and i think i will have to share a lot of GPIO to output to the headers. the space is very very small.
here's how the power part(dual buck converter) looks like:
 
  
I basically wired the basics of FPGA and the rp2350a. now in the next sesh i will connect both the chips and add headers and hopefully i will be done with the schematic.

  
     Keyaan 🚀
  
 added to the journal  ago
    Keyaan 🚀
  
 added to the journal  ago
Idea Changed
There are some things i want to change, first of all, i cannot figure out how to program the FPGA, as there are two ways, first you use a flash configured where the FPGA is the SPI master and the second is programming from an external MCU, where the FPGA acts as a slave. So i have an idea, I WILL USE THE RP2350 along with the FPGA. So yes, the board cost will be upped a little bit ig. i will still try to maintain the rpi pico form factor and use all the GPIOs, but if it is not possible then also it is fine as i will have many many GPIOs.
here are other things that i have decided to put:
1x RGB LED.
4x normal LEDs
2x power LEDs(3.3v and 1.2v both)
a buck convertor with 2 channels (most probably RT8075ZQW)
it would look something like this:

  
     Keyaan 🚀
  
 added to the journal  ago
    Keyaan 🚀
  
 added to the journal  ago
deciding stuff
so, i have decided that i will be making an FPGA dev board in a raspi pico form factor, which will have the ice40up5k FPGA with 5280 LUTs. Here are some other things that i will need:
- A programming interface
- a flash storage
- cramming everything in rpi pico form factor
- USB-C
- required voltage regulators(3.3v and 1.2v prolly)
- too many LEDs(with suitable resistors)
Yeah that's all ig
and yes no castellations because they are expensive, and i'll solder the board myself at home yay
   
  
     Keyaan 🚀
  
 started Arctyx Nano  ago
    Keyaan 🚀
  
 started Arctyx Nano  ago